The Grand Trunk Western's Detroit Division
branchlines all operated mixed trains. The Cass City Subdivision had trains 49
and 52 running between Pontiac and Caseville. The Jackson Sub. had trains 44 and
45 between Pontiac and Richmond and trains 46 and 47 between Pontiac and
Jackson. The Saginaw Sub. had trains 38 and 39 between Durand and Bay City.
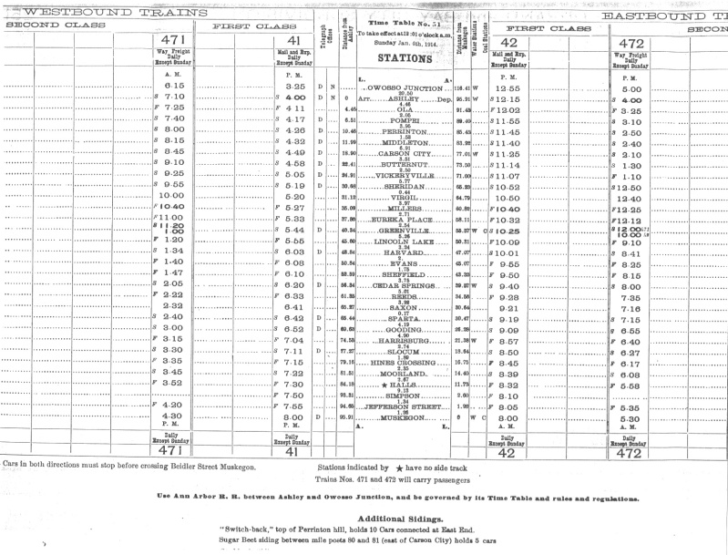
The Muskegon Sub., had trains 41 and 42 between Muskegon
and Durand. When the TS&M first started operating in 1887 it's first trains
were mixed trains. These trains were number 5 and 6 and ran between Muskegon and
Ashley. Each train had a long caboose with six windows on each side. By 1892
these trains were numbered 91 and 92 and ran between Muskegon and Owosso
Junction. By 1899 the train numbers changed again to 71 and 72. The numbers were
changed again to 471 and 472 by 1914. Between 1918 and 1920 these trains became
freight only and for the first time in history the TS&M did not have a mixed
train.
Here is photo from Circa 1915 of Grand Trunk wayfreight 472 (first or second section?) heading east for Durand. It is stopped at the Perrinton depot (the house in the background still stands). According to the timetable, 472 was scheduled at Perrinton at 2:35pm. Engine 2269 was a regular on the line, I have at least six references to it in photos or train orders.
A TS&M passenger train is helping out with a wreck of a Ann Arbor passenger train. The GT loco is one of the Baldwin 4-4-0's that have the steam dome ahead of the sand dome. This engine could be #2109 ex #1160 that was a regular on the TS&M passenger trains until it was scraped in 1915.

This is a photo I received from Mark Worrall of the "TS&M Flyer". The train is on the Ann Arbor just north of Bannister crossing the Maple River. The train is #31, the mail and express for Muskegon. The engine is #1060, a DGH&M 4-4-0 built by Baldwin in 1873. The DGH&M had 11 of these locos and the Chicago & Grand Trunk had 35 of them. They are noticeable because the steam dome is ahead of the sand dome. These engines were later part of the J1 class of Americans on the GT.

Starting in 1888 the TS&M ran its trains over the Ann Arbor RR between Ashley and Owosso.
Here is a photo of the wayfreight at Butternut

The photo shows the mixed train headed eastbound at Sheridan crossing M-66 about 1950. Engine 2671 was a regular on the Greenville Sub. for many years.

This photo is of train 471/472, wayfreights that ran as extras. Note caboose on the caboose track instead of the combine. Engine 2671 is parked on the coal dock track, the coal tenders shack was to the left of the engine. The ashpit was on the same track as the coal dock. The carman's shack was just out of the picture to the right. The water column is behind the switchstand and the interlocking semaphore is just to the right of the caboose in the distance. The coal dock was torn down around 1953 and replaced with a conveyor.

THE TURKEY TRAIL 1952
It's Wednesday, February 13, 1952, the weather is clear and calm at Durand, the temperature is 21 degrees. The engine crew, engineman Snyder and fireman O’Brian, report for duty at 8am. Fifteen minutes later the train crew, conductor Gangraw, and brakemen Ramsey and Rowston report. The engine crew picks up their locomotive, engine 2671, on the ready track. Engine 2671, a consolidation, is the regular engine on this run. After picking up their train at Top End yard, Mixed Train #41 is ready to leave with 14 loads and combination car 7365. The combine was converted to handle the train crew and passengers, eliminating the use of a caboose. They leave Durand at 9 am heading west on the GTW's Grand Rapids Subdivision.
The train arrives at Owosso at 9:20 am and does some switching. Leaving at 10:15 am with 11 loads it crosses the Michigan Central at Owosso Junction and enters the Ann Arbor Railroad's tracks. The GTW has trackage rights between Owosso Junction and Ashley 20 miles to the north. The train arrives at Ashley at 10:55 am and enters the GTW's Greenville Subdivision.
Leaving Ashley at 11 10 am the train passes through Pompei and stops at Perrinton for 10 minutes. Leaving Perrinton at 11:47 am it runs to Middleton where the train crew goes to beans. Leaving Middleton they arrive at Carson City at 12:55 pm. The crew spends the next 40 minutes switching the refinery and grain elevators. The train spends six minutes at Butternut then passes through Vickeryville and on to Sheridan, arriving at 2:10 pm. The next 50 minutes are spent switching the Carnation Milk plant, the lines largest customer. Leaving Sheridan at 3:00 pm the train arrives at Greenville at 3:20 pm with 6 loaded cars. The crew drops the train in the yard, parks the combine on the caboose track, and turns the engine on the wye and turns #2671 over to hostler Keith Varney who coals the engine, drops the ashes, and parks the N-9-d consolidation on the coal track. Mr. Varney is also the coal tender and keeps the 100 ton wooden coaling tower full. He stays in a shack near the tower and keeps the fire tended in the engines that lay-over at Greenville. The crew is released at 4:00 pm, eight hours on duty.
Greenville has a resident carman, Carl Smith. He has an office in a de-trucked wooden boxcar alongside the caboose track. At the end of the caboose track is his tool car. Mr. Smith sweeps out the empties before they are spotted. After performing the terminal air test on the outbound train he drives to the other stations on the line said inspects and cleans the other cars the local set off that morning. The train crew stay overnight in the combine and the engine crew sleep in a bunk car near the car man’s shack.
The next day, Thursday February l4th 1952, the engine crew reports for duty at 9:30 am and the train crew at 9:45 am. After receiving instructions from Greenville station agent Paul Rush, the crew switches the Gibson and Ranney Refrigerator plants and the other industries in town. After making up the outbound train, and filling the tender with water from the water column, Mixed Train #42 deports Greenville at 11:45 am with 2 loads and 4 empties.
The train arrives at Sheridan at 12:10 pm and the crew goes to beans. After a little switching at the milk plant the train leaves Sheridan at 1:20 pm. The train runs through Vickeryville and Butternut and arrives at Carson City at 1:45 pm. Working at Carson City for 33 minutes, the train leaves at 2:18 pm and stops at Middleton for 14 minutes. After switching at the Borden milk plant at Perrinton for 26 minutes the train heads east and passes through Pompei and arrives at Ashley at 3:55 pm. Leaving Ash1ey at 4:95 pm with 11 loads and 12 empties, the train enters the Ann Arbor headed south. Mixed Train #42 arrives at Owosso at 14:50 pm and leaves at 5:55 pm with 11 loads and 12 empties and arrives back at Durand at 6:20 pm. After dropping the train and engine, the crew is released at 7:00 pm, nine anal a half hours on duty.
With passenger patronage dropping, the Grand Trunk made passenger trains 41 and 42 mixed between Greenville and Muskegon. This happened between 1925 and 1927. At this time there were two wayfreights daily between Durand and Greenville and two manifest trains between Durand and Muskegon.Around 1948 to 1950 the combines were rebuilt with accommodations for the
crew, so a caboose was no longer needed. The last mixed train was ran on
December 31st, 1955 between Greenville and Durand.
Trains 41 and 42 carried
combination car #7365 in the 1940's and 1950's. In the 1930's they would of had
to have two passenger cars, one for each train. Combine 7366 could have been
used and in one photo it looks like a coach at the rear of the train. In the
summer of 1955 #7365 was replaced with combine #7293.
From the timetable it shows that Greenville is the meeting place for the wayfreights (471/472) and also where 42 could pass 472. A logical place as Greenville had two passing tracks one with 34 car capacity and one with 41 car capacity. However the meeting place for 42 and 471 was listed at Millers (about 5 miles east of Greenville) with a 11 car capacity. I guess the passenger train could have taked the siding.
Toledo, Ann Arbor & North Michigan Timetable dated August 21, 1892 lists the Toledo, Saginaw & Muskegon trains as passenger 51, 52, and freight as 53, 54
When the Ann Arbor started running McKeen motor the numbering of all trains changed, these numbers became passenger trains.

1914 the timetable lists four trains running, the mail and express trains 41 and 42 and the wayfreights 471 and 472.

I found it interesting that the TS&M was carried on the Ann Arbor timetable in 1914 as trains 60, 61, 62, and 63.
