TrainWeb.org Facebook Page
TOLEDO, SAGINAW and MUSKEGON TIME TABLES

TOLEDO, SAGINAW and MUSKEGON TIME TABLES

 

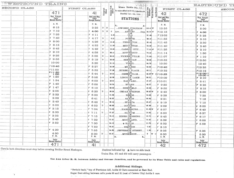
Ann Arbor Railroad Time Table below - show different train numbers for Grand Trunk trains.

 

 

Web page by Henry F. Burger 6/25/2016